Subscribe to our ▶️ YouTube channel 🔴 for the latest videos, updates, and tips.
In order to evaluate the functions for the given values, we have to apply the given values instead of x in the given function.
Let us look into some examples.
Question 1 :
If f(x) = (x + 2)/(x2 + 1) For every real number x. Evaluate the following expression.
(i) f(2a) (ii) f(2a - 1) (iii) f(x2 + 1) (iv) f(2x2 + 3)
Solution :
(i) f(2a)
f(x) = (x + 2)/(x2 + 1)
x = 2a
f(2a) = (2a + 2)/((2a)2 + 1)
= (2a + 2)/(4a2 + 1)
= 2(a + 1)/(4a2 + 1)
(ii) f(2a - 1)
f(x) = (x + 2)/(x2 + 1)
x = 2a - 1
f(2a - 1) = (2a - 1 + 2)/((2a - 1)2 + 1)
= (2a + 1)/(4a2 + 1 + 4a + 1)
= (2a + 1)/(4a2 + 4a + 2)
(iii) f(x2 + 1)
f(x) = (x + 2)/(x2 + 1)
x = x2 + 1
f(x2 + 1) = (x2 + 1 + 2)/((x2 + 1)2 + 1)
= (x2 + 3)/(x4 + 2x2 + 1 + 1)
= (x2 + 3)/(x4 + 2x2 + 2)
(iv) f(2x2 + 3)
f(x) = (x + 2)/(x2 + 1)
x = 2x2 + 3
f(2x2 + 3) = (2x2 + 3 + 2)/((2x2 + 3)2 + 1)
= (2x2 + 5)/(4x4 + 12x2 + 9 + 1)
= (2x2 + 5)/(4x4 + 12x2 + 10)
Question 2 :
If g(x) = (x - 1)/(x + 2) For every real number x. Evaluate the following expression.
(i) Find a number "b" such that g(b) = 4.
(ii) Find a number b such that g(b) = 3
(iii) Evaluate and simplify the expression [g(x)−g(3)]/(x−3)
Solution :
(i) Find a number "b" such that g(b) = 4.
g(x) = (x - 1)/(x + 2)
g(b) = (b - 1)/(b + 2)
4 = (b - 1)/(b + 2)
4(b + 2) = b - 1
4b + 8 = b - 1
4b - b = -1 - 8
3b = -9
b = -3
(ii) Find a number b such that g(b) = 3
g(x) = (x - 1)/(x + 2)
g(b) = (b - 1)/(b + 2)
3 = (b - 1)/(b + 2)
3(b + 2) = b - 1
3b + 6 = b - 1
3b - b = -1 - 6
2b = -7
b = -7/2
(iii) Evaluate and simplify the expression [g(x)−g(3)]/(x−3)
g(x) = (x - 1)/(x + 2)
g(3) = (3 - 1)/(3 + 2) = 2/5
[g(x)−g(3)]/(x−3) = [(x - 1)/(x + 2) - (2/5)]/(x−3)
= [5(x - 1) - 2(x + 2)/5(x + 2)]/(x−3)
= [(5x - 5 - 2x - 4)/5(x + 2)]/(x−3)
= [(3x - 9)/5(x + 2)]/(x−3)
= [3 (x - 3)/5(x + 2)]/(x−3)
= 3/5(x + 2)
Question 3 :
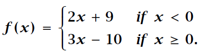
Assume that f is the function defined by

(i) Evaluate f(2).
(ii) Evaluate f(−3).
(iii) Evaluate f(|x| + 1).
(iv) Evaluate f(|x − 5| + 2).
Solution :
(i) f(2)
Here the value of x is 2 which is greater than 0. So we have to choose the function f(x) = 3x - 10
f(2) = 3(2) - 10 = 6 - 10
f(2) = -4
(ii) Evaluate f(−3).
Here the value of x is 2 which is lesser than 0. So we have to choose the function f(x) = 2x + 9
f(-3) = 2(-3) - 9 = - 6 - 9
f(-3) = -15
(iii) Evaluate f(|x| + 1)
f(|x| + 1) = 3(|x|+ 1) - 10
= 3|x| + 3 - 10
f(|x| + 1) = 3|x| - 10
(iv) Evaluate f(|x − 5| + 2).
f(|x - 5| + 2) = 3(|x - 5|+ 2) - 10
= 3|x - 5| + 6 - 10
f(|x - 5| + 2) = 3|x - 5| - 4
Subscribe to our ▶️ YouTube channel 🔴 for the latest videos, updates, and tips.
Kindly mail your feedback to v4formath@gmail.com
We always appreciate your feedback.
About Us | Contact Us | Privacy Policy
©All rights reserved. onlinemath4all.com

May 21, 26 01:17 AM
May 17, 26 09:03 AM
Apr 24, 26 09:30 PM