Subscribe to our ▶️ YouTube channel 🔴 for the latest videos, updates, and tips.
Question 1 :
Solve the following problems by using Factor Theorem :
(1) Show that

Solution :
Let us apply a = 0

Let us factor c and b from column 2 and 3. After factor out b and c, C2 and C3 will be identical. So, the determinant will become 0.
Hence a is a factor. By applying the b = 0 and and c = 0, we get the same result.
So the factors are a, b and c.
Leading diagonals are (b + c), (c + a) and (a + b). The sum of the exponents of leading diagonal is 3.
m = 3 - 3 = 0
So the required factor will be constant (k).

2 [4 - 0] = k
k = 8

Hence proved.
Question 2 :
Solve

Solution :
Let the given determinant as delta. By applying the value x = 0, we get a in the first column, b in the second column and c in the third column. After factoring a, b and c from the first, second and third column respectively, we get identical rows and columns.
So (x - 0)2 is a factor. Since the given matrix is in cyclic symmetric form, we may apply (x + a + b + c).
So, x + a = -b - c
x + b = -a - c
and x + c = -a -b

If one column in the determinant is 0, its determinant value will become 0.
x2 (x + a + b + c) = 0
x = 0, 0, -(a + b + c)
Question 3 :
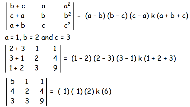
Show that

Solution :
By applying a = b, we get

First and second rows are equal. Determinant will become 0. So (a - b) is a factor.
By applying b = c, we get 2 identical rows. By applying c = a, we will get identical rows. So, (b - c) and (c - a) are factors.
So far we get 3 factors.
Sum of leading diagonals = 4
m = 4 - 3 = 1
So, the required factor will be k(a + b + c).

5(18 - 12) - 1(36 - 12) + 1(12 - 6) = 12k
5(6) - 1(24) + 1(6) = 12k
30 - 24 + 6 = 12k
12k = 12
k = 1
By applying the value of k, we get the proof.
Subscribe to our ▶️ YouTube channel 🔴 for the latest videos, updates, and tips.
Kindly mail your feedback to v4formath@gmail.com
We always appreciate your feedback.
About Us | Contact Us | Privacy Policy
©All rights reserved. onlinemath4all.com

Dec 29, 25 04:21 AM
Dec 28, 25 11:20 PM
Dec 28, 25 06:05 PM