Subscribe to our ▶️ YouTube channel 🔴 for the latest videos, updates, and tips.
Example 1 :
Resolve the following rational expressions into partial fractions.
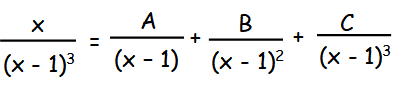
x/(x-1)3
Solution :
By decomposing the denominator, we get

x/(x-1)3 = (A(x - 1)2 + B(x - 1) + C)/(x-1)3
x = A(x - 1)2 + B(x - 1) + C
|
If x=1 1 = C C = 1 |
If x = 0 0 = A(0-1)2+B(0-1)+C 0 = A - B + 1 A - B = -1 ----(1) |
If x = 2 2 = A(2-1)2+B(2-1)+C 2 = A + B + 1 A + B = 1 ----(2) |
(1) + (2)
A - B + A + B = -1 + 1
2A = 0
A = 0
Applying the values of A in the first equation, we get
0 - B = -1
B = 1
Hence the solution is

Example 2 :
Resolve the following rational expressions into partial fractions.
1/(x4 - 1)
Solution :
By decomposing the denominator, we get

1 = A(x - 1)(x2 + 1) + B(x+1) (x2+1) + (Cx+D)(x+1)(x-1)
|
If x = 1 1 = B(2)(2) 4B = 1 B = 1/4 |
If x = -1 1 = A(-2)(2) -4A = 1 A = -1/4 |
If x = 0 1 = A + B - D 1 = (1/4) + (1/4) - D 1 = (2/4) - D D = (1/2) - 1 D = -1/2 |
Hence the solution is

Example 3 :
Resolve the following rational expressions into partial fractions.
(x - 1)2/(x3 + x)
Solution :
By decomposing the denominator, we get

(x - 1)2 = A(x2 + 1) + (Bx + C) x
|
If x = 0 1 = A |
If x = 1 0 = 2A + B + C 0 = 2 + B + C B + C = -2 ---(1) |
If x = -1 4 = 2A + (-B + C)(-1) 4 = 2A + B - C 4 = 2 + B - C 2 = B - C ---(2) |
(1) + (2)
-2 + 2 = B + C + B - C
0 = 2B
B = 0
By applying the value of B in the first equation, we get
C = -2
Hence the solution is

Subscribe to our ▶️ YouTube channel 🔴 for the latest videos, updates, and tips.
Kindly mail your feedback to v4formath@gmail.com
We always appreciate your feedback.
About Us | Contact Us | Privacy Policy
©All rights reserved. onlinemath4all.com

Dec 25, 25 08:30 AM
Dec 24, 25 07:58 PM
Dec 23, 25 11:34 PM