Subscribe to our ▶️ YouTube channel 🔴 for the latest videos, updates, and tips.
Here we are going to see how to solve determinants using factor theorem.
If each element of a matrix A is a polynomial in x and if |A| vanishes for x = a, then (x - a) is a factor of | A |.
(i) This theorem is very much useful when we have to obtain the value of the determinant in ‘factors’ form.
(ii) If we substitute b for a in the determinant | A |, any two of its rows or columns become identical, then | A | = 0, and hence by factor theorem (a - b) is a factor of | A |.
(iii) If r rows (columns) are identical in a determinant of order n (n ≥ r), when we put x = a, then (x - a)r - 1 is a factor of | A |.
(iv) A square matrix (or its determinant) is said to be in cyclic symmetric form if each row is obtained from the first row by changing the variables cyclically.
(v) If the determinant is in cyclic symmetric form and if m is the difference between the degree of the product of the factors (obtained by substitution) and the degree of the product of the leading diagonal elements and if
(1) m is zero, then the required factor is a constant k
(2) m is 1, then the required factor is k(a + b + c) and
(3) m is 2, then the required factor is k(a2 + b2 + c2) + l (ab + bc + ca).
Question
Solve the following problems by using Factor Theorem :
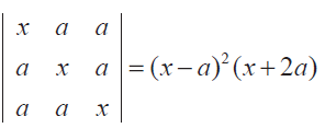
(1) Show that

Solution :

Let us apply x = a,

In the above determinant, all columns and rows are identical.
Hence (x - a)2 are factors.
Now let us apply x = -2a

In order to convert the first row as zero, we have to add row 1, 2 and 3.

= 0
So, (x + 2a) is a factor.
Sum of powers of leading diagonal is 3, so far we get 3 factors.
To find the value of m, we have to subtract no of factors that we got so far from the sum of powers of leading diagonals.Value of m = 3 - 3 = 0
Since the value of m is 0, the required factor will be a constant (k).

1 = k
Subscribe to our ▶️ YouTube channel 🔴 for the latest videos, updates, and tips.
Kindly mail your feedback to v4formath@gmail.com
We always appreciate your feedback.
About Us | Contact Us | Privacy Policy
©All rights reserved. onlinemath4all.com

May 10, 26 05:50 PM
Apr 24, 26 09:30 PM
Apr 24, 26 09:05 PM