Subscribe to our âśď¸ YouTube channel đ´ for the latest videos, updates, and tips.
Question 1 :
Find the least common multiple of xy(k2 +1)+k(x2 + y2) and xy(k2 â1)+k(x2 ây2)
Solution :
Let p(x) = xy(k2 +1) + k(x2 + y2) and
q(x) = xy(k2 â1) + k(x2 ây2)
q(x) = y(k2 â1) + k(x2 ây2)
= xyk2 + ky2 + xy + kx2
= ky(kx + y) + x(y + kx)
p(x) = (ky + x)(kx + y) -----(1)
q(x) = xy(k2 â1) + k(x2 â y2)
q(x) = xyk2 âxy + kx2 â ky2
= xyk2 â ky2 â xy + kx2
= ky(kx - y) + x(kx - y)
= (ky + x)(kx - y) -------(2)
L.C.M = (ky + x)((kx)2 - y2)
L.C.M = (ky + x) (k2x2 - y2)
Question 2 :
Find the GCD of the following by division algorithm
2x4 +13x3 +27x2 + 23x + 7 , x3 + 3x2 + 3x + 1 , x2 + 2x + 1
Solution :


Hence G.C.D of the given polynomials is x2 + 2x + 1.
Question 3 :
Reduce the given Rational expressions to its lowest form
(i) (x3a - 8)/(x2a + 2xa + 4)
Solution :
(x3a - 8)/(x2a + 2xa + 4)
= ((xa)3 - 23)/((xa)2 + 2xa + 22)
= ((xa - 2)((xa)2 + 2xa + 22)/((xa)2 + 2xa + 22)
= (xa - 2)
(ii) (10x3 - 25x2 + 4x - 10)/(-4 - 10x2)
Solution :
(10x3 - 25x2 + 4x - 10)/(-4 - 10x2)
= -(10x3 - 25x2 + 4x - 10)/(10x2 + 4)
= -(10x3 - 25x2 + 4x - 10)/2(5x2 + 2)

= -(2x - 5)/2
= -x + (5/2)
Question 4 :
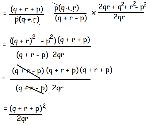
Simplify

Solution :

Question 5 :
Arul, Ravi and Ram working together can clean a store in 6 hours. Working alone, Ravi takes twice as long to clean the store as Arul does. Ram needs three times as long as Arul does. How long would it take each if they are working alone?
Solution :
Let x, y and z be the quantity of works finished by Arul, Ravi and Ram respectively.
y = 2x and z = 3x
1 hour work by Arul = 1/x
1 hour work by Ravi = 1/y
1 hour work by Ram = 1/z
1/x + (1/2x) + (1/3x) = 1/6
(6 + 3 + 2)/6x = 1/6
11/6x = 1/6
x = 11 hours (No of hours taken by Arul)
2x = 2(11) = 22 hours (taken by Ravi)
3x = 3(11) = 33 hours (taken by Ram)
Subscribe to our âśď¸ YouTube channel đ´ for the latest videos, updates, and tips.
Kindly mail your feedback to v4formath@gmail.com
We always appreciate your feedback.
About Us | Contact Us | Privacy Policy
ŠAll rights reserved. onlinemath4all.com

May 21, 26 01:17 AM
May 17, 26 09:03 AM
Apr 24, 26 09:30 PM