Subscribe to our ▶️ YouTube channel 🔴 for the latest videos, updates, and tips.
Form a differential equations by eliminating arbitrary constants given in brackets against each.
(1) y2 = 4ax {a}
(2) y = ax2+bx+c {a, b}
(3) x y = c² {c}
(4) (x2/a2) + (y2/b2) = 1 {a, b}
(5) y = A e2x + Be-5x {A, B}
(6) y = e3x (C cos2x + D sin2x) {C, D}
(7) y = emx {m}
(8) y = Ae2x cos (3x + B) {A, B}
Problem 1 :
y2 = 4ax {a}
Solution :
Number of arbitrary constant is 1, so we may differentiate the equation once to find the differential equation.
2y(dy/dx) = 4a(1)
2y(dy/dx) = 4a
dy/dx = 4a/2y
dy/dx = 2a/y ---- (1)
By finding the value of y from equation (1), we get
y2 = 4ax
a = y2/4x
now we are going to apply the value of a in the first equation
dy/dx = 2(y²/4x)/y
dy/dx = 2y²/4xy
y' = y/2x
2xy' = y
y = 2xy'
Therefore the required equation is y = 2xy'.
Problem 2 :
y = ax2+bx+c {a, b}
Solution :
Number of arbitrary constants is 2, so the order of required differential equation is 2.
y = ax2+bx+c --- (1)
differentiate with respect to x
dy/dx = a (2x)+b(1)+0
dy/dx = 2ax+b
again differentiate the above equation with respect to x
d2y/dx2 = 2a(1)+0
d2y/dx2 = 2a
y' = 2ax+b --- (2)
y'' = 2a --- (3)
By applying the value of 2a in (2), we get
y' = y''x+b
b = y'-y''x
a = y''/2
By applying the values of a and b in (1), we get
y = ax2+bx+c
y = (y''/2)x2 + (y'-y'' x)x + c
y = (y''x /2) + y'x - y''x2+ c
y = (y''x2 + 2 y' x - 2 y'' x² + 2 c)/2
2y = 2y'x-y''x2+2c
x2y''-2xy'+2y-2c = 0
Therefore the required differential equation is
x2y''-2xy'+2y-2c = 0
Problem 3 :
xy = c2 {c}
Solution :
Number of arbitrary constants is 1, so we can differentiate the equation once to get the required differential equation.
xy = c2
x (dy/dx)+y(1) = 0
xy'+y = 0
Therefore the required equation is
xy'+y = 0
Problem 4 :
(x2/a2) + (y2/b2) = 1 {a , b}
Solution :
(x2/a2) + (y2/b2) = 1
(x2b2 + y2a2)/a2b2 = 1
x2b2 + y2a2 = a2b2
Number of arbitrary constants is 2, so to find the differential equation, we can differentiate the equation twice.
Differentiate the given equation with respect to x
2xb2+2yy'a2 = 0
divide the whole equation by 2
xb2+yy'a2 = 0 ------ (1)
Again differentiate the given equation with respect to x
we are going to differentiate y y' using product rule
u = y v = y'
u' = y' v' = y''
Formula for product rule :
d (u v) = u v' + v u'
= yy''+y'(y')
= y y''+(y')²
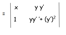
(1) b2 + [y y''+(y')2] a2 = 0
b2 + [y y''+(y')2] a2 = 0 ----- (2)

x(yy''+(y')2) -1(yy') = 0
xy''+xyy' - yy' = 0
Problem 5 :
y = A e2x + Be-5x {A , B}
Solution :
y = A e2x + Be-5x -----(1)
y' = 2Ae2x -5 Be-5x -----(2)
y'' = 4 Ae2x +25 Be-5x -----(3)

= e-3x[y(50+20)-1(25y'+5y'') + 1(4y'-2y'')]
= e-3x[70y-25y'-5y'' + 4y'-2y'']
= e-3x[70y-21y'-7y'']
70y-21y'-7y'' = 0
Divide the equation by (-7), we get
y''+3y'-10y = 0
So, the required differential equation is
y''+3y'-10y = 0
Problem 6 :
y = e3x (C cos2x + D sin2x) {C, D}
Solution :
y = e3x (C cos2x + D sin2x)
ye-3x = (C cos2x + D sin2x) ---(1)
Differentiating with respect to x, we get
-3ye-3x+e-3xy' = -2C sin 2x + 2D cos 2x
e-3x(y'-3y) = -2C sin 2x + 2D cos 2x
Again differentiating with respect to x, we get
e-3x(y''-3y')+(y'-3y)(-3e-3x) = -4C cos 2x - 4D sin 2x
e-3x[(y''-3y')-3(y'-3y)] = -4(C cos 2x + D sin 2x)
(y''-6y'-9y) = -4e3x(C cos 2x + D sin 2x)
(y''-6y'-9y) = -4y
y''-6y'-9y+4y = 0
y''-6y'-5y = 0
So, the required differential equation is
y''-6y'-5y = 0.
Problem 7 :
y = emx {m}
Solution :
y = emx
y' = memx
y' = 3y
y'-3y = 0
So, the required differential equation is
y'-3y = 0
Problem 8 :
y = Ae2x cos (3x + B) {A, B}
Solution :
y = Ae2x cos (3x+B)
ye-2x = A cos (3x+B) ------(1)
-2ye-2x + e-2x y' = -3A sin(3x+B)
e-2x(-2y+y') = -3A sin(3x+B) ------(2)
e-2x(-2y+y') = -9A cos(3x+B)
(-2y+y') = -9Ae2x cos(3x+B) ------(3)
-2y+y' = -9y
y'+9y-2y = 0
y'+7y = 0

Apart from the stuff given in this section, if you need any other stuff in math, please use our google custom search here.
Subscribe to our ▶️ YouTube channel 🔴 for the latest videos, updates, and tips.
Kindly mail your feedback to v4formath@gmail.com
We always appreciate your feedback.
About Us | Contact Us | Privacy Policy
©All rights reserved. onlinemath4all.com

May 10, 26 05:50 PM
Apr 24, 26 09:30 PM
Apr 24, 26 09:05 PM