Subscribe to our ▶️ YouTube channel 🔴 for the latest videos, updates, and tips.
Example 1 :
Resolve the following rational expressions into partial fractions.
1/(x2-a2)
Solution :
Let us decompose the denominator into linear factors.

1/(x2-a2) = [A(x + a) + B(x - a)]/(x2-a2)
1 = A(x + a) + B(x - a)
|
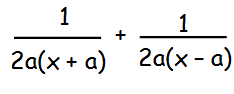
When x = -a 1 = B(-a –a) 1 = B(-2a) B = -1/2a |
When x = a 1 = A(a +a) 1 = A(2a) A = 1/2a |
Hence the solution is

Example 2 :
Resolve the following rational expressions into partial fractions.
(3x + 1)/(x - 2) (x + 1)
Solution :

3x + 1 = A(x + 1) + B(x - 2)
|
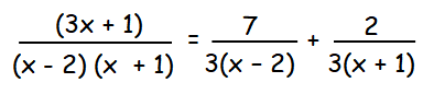
When x = -1 3(-1) + 1 = B(-1 - 2) -3 + 1 = B(-3) -2 = -3B B = 2/3 |
When x = 2 3(2) + 1 = A(2 + 1) 6 + 1 = A(3) 7 = 3A A = 7/3 |
Hence the solution is

Example 3 :
Resolve the following rational expressions into partial fractions.
x/(x2 + 1)(x - 1)(x + 2)
Solution :

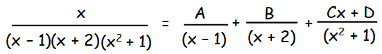
x = A(x+2)(x2+1) + B(x2+1)(x-1) + (Cx + D)(x-1)(x+2)
|
When x = 1 1 = A(3)(2) 1 = 6A A = 1/6 |
When x = -2 -2 = B(5)(-3) -2 = -15B B = 2/15 |
When x = 0
x = A(x+2)(x2+1) + B(x2+1)(x-1) + (Cx + D)(x-1)(x+2)
0 = A(2)(1) + B(1)(-1) + D(-1)(2)
0 = 2A - B - 2D
By applying the values of A and B, we get
0 = (1/3) - (2/15) - 2D
2D = 3/15
D = 1/10
When x = -1
-1 = A(1)(2) + B(2)(-2) + (-C+D)(-2)(1)
-1 = 2A - 4B + 2C - 2D
By applying the values of A, B and D
-1 = (1/3) - (8/15) + 2C - (1/5)
-1 = ((5 - 8 - 3)/15) + 2C
-1 = -6/15 + 2C
-1 + (2/5) = 2 C ==> -3/5 = 2C ==> C = -3/10
Hence the solution is

Example 4 :
(-5x + 4)/(x2 - x)
Solution :
= (-5x + 4)/(x2 - x)
= (-5x + 4)/x(x - 1)
(-5x + 4)/x(x - 1) = A/x + B/(x - 1) ----(1)
-5x + 4 = A(x - 1) + Bx
When x = 1
-5(1) + 4 = B(1)
-5 + 4 = B
B = -1
When x = 0
-5(0) + 4 = A(0 - 1) + B(0)
4 = -A
A = -4
Applying the value of A and B
(-4/x) - [1/(x - 1)]
Example 5 :
(2x2 - 9x - 10)/(x2 - 5x)
Solution :
= (2x2 - 9x - 10)/(x2 - 5x)

= 2 + [(x - 10)/(x2 - 5x)]
= 2 + [(x - 10)/x(x - 5)]
(x - 10)/x(x - 5) = A/x + B/(x - 5)
(x - 10)/x(x - 5) = [A(x - 5) + Bx]/x(x - 5)
x - 10 = A(x - 5) + Bx
When x = 5
5 - 10 = A(5 - 5) + B(5)
-5 = 5B
B = -1
When x = 0
0 - 10 = A(0 - 5) + B(0)
-10 = -5A
A = 10/5
A = 2
Applying the values of A and B, we get
= 2/x + (-1/(x - 5))
Example 6 :
(-2x2 + 19x - 13)/(x3 - 7x2 + 11x - 5)
Solution :
= (-2x2 + 19x - 13)/(x3 - 7x2 + 11x - 5)

The above synthetic division shows
= x2 - 6x + 5
= (x - 1)(x - 5)
The factors are (x - 1) (x - 1) and (x - 5).
(-2x2 + 19x - 13)/(x3 - 7x2 + 11x - 5)
= (-2x2 + 19x - 13)/(x - 1) (x - 1) (x - 5)
= (-2x2 + 19x - 13)/(x - 1)2 (x - 5)
= A/(x - 1) + B/(x - 1)2 + C/(x - 5)
-2x2 + 19x - 13 = A(x - 1)(x - 5) + B(x - 5) + C(x - 1)2
When x = 1
-2(1)2 + 19(1) - 13 = A(1 - 1)(1 - 5) + B(1 - 5) + C(1 - 1)2
-2 + 19 - 13 = B(-4)
-15 + 19 = -4B
4B = -4
B = -1
When x = 5
-2(5)2 + 19(5) - 13 = A(5 - 1)(5 - 5) + B(5 - 5) + C(5 - 1)2
-2(25) + 95 - 13 = C(16)
-50 + 95 - 13 = 16C
-63 + 95 = 16C
32 = 16C
C = 32/16
C = 2
When x = 0
-2(0)2 + 19(0) - 13 = A(0 - 1)(0 - 5) + B(0 - 5) + C(0 - 1)2
- 13 = 5A - 5B + C(1)
- 13 = 5A - 5(-1) + 2
-13 = 5A + 5 + 2
-13 - 7 = 5A
5A = -20
A = -20/5
A = -4
-4/(x - 1) - 1/(x - 1)2 + 2/(x - 5)
Example 7 :
(20x + 9)/(25x2 + 20x + 4)
Solution :
= (20x + 9)/(25x2 + 20x + 4)
= (20x + 9)/((5x)2 + 2(5x)(3) + 22)
= (20x + 9)/(5x + 2)2
(20x + 9)/(5x + 2)2 = A/(5x + 2) + B/(5x + 2)2
(20x + 9) = A(5x + 2) + B
When x = -2/5
20(-2/5) + 9 = 0 + B
B = -8 + 9
B = 1
When x = 0
(20(0) + 9) = A(5(0) + 2) + B
9 = 2A + B
9 = 2A + 1
9 - 1 = 2A
2A = 8
A = 8/2
A = 4
By applying the values of A and B, we get
= 4/(5x + 2) + 1/(5x + 2)2
Subscribe to our ▶️ YouTube channel 🔴 for the latest videos, updates, and tips.
Kindly mail your feedback to v4formath@gmail.com
We always appreciate your feedback.
About Us | Contact Us | Privacy Policy
©All rights reserved. onlinemath4all.com
Dec 15, 25 07:09 PM
Dec 14, 25 06:42 AM
Dec 13, 25 10:11 AM