Subscribe to our ▶️ YouTube channel 🔴 for the latest videos, updates, and tips.
Consider a real-valued, bounded function f(x) defined on the closed and bounded interval[a, b], a < b.
The function f(x) need not have the same sign on [a,b] that is, f(x) may have positive as well as negative values on [a, b] .
Partition the interval [a, b] into n subintervals

[x0, x1], [x1, x2].................,[xn-2, xn-1], [xn-1, xn] such that a = x0 < x1 < x2 <.......xn-1 < xn = b

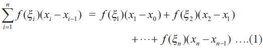
The sum in (1) is called a Riemann sum of f(x) corresponding to the partition
[x0, x1], [x1, x2].................,[xn-2, xn-1], [xn-1, xn]
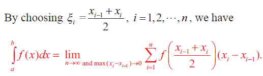
By choosing Σi = xi-1, i = 1, 2,...........n, we have

The above equation is known as the left-end rule for evaluating the Riemann integral.
By choosing Σi = xi-1, i = 1, 2,...........n, we have

The above equation is known as the right-end rule for evaluating the Riemann integral.

The above equation is known as the mid-point rule for evaluating the Riemann integral
Problem 1 :
Find an approximate value of integral 1 to 1.5 x dx by applying the left-end rule with the partition
{1.1, 1.2, 1.3, 1.4, 1.5}.
Solution :
Here a = 1, b = 1.5, number of sub interval (n) = 5, f(x) = x
Width of interval (h) = Δx = 0.1
x0 = 1, x1 = 1.1, x2 = 1.2, x3 = 1.3, x4 = 1.4
S = [f(x0) + f(x1) + f(x2) + f(x3) + f(x4)]Δx
S = [f(1) + f(1.1) + f(1.2) + f(1.3) + f(1.4)](0.1)
= (1 + 1.1 + 1.2 + 1.3 + 1.4) (0.1)
= 6(0.1)
= 0.6
So, integral 1 to 1.5 x dx is approximately 0.6.
Problem 2 :
Find an approximate value of integral 1 to 1.5 x2 dx by applying the right end rule with the partition
{1.1, 1.2, 1.3, 1.4, 1.5}.
Solution :
Here a = 1, b = 1.5, number of sub interval (n) = 5
f(x) = x2
Width of interval (h) = Δx = 0.1
x1 = 1.1, x2 = 1.2, x3 = 1.3, x4 = 1.4, x5 = 1.5
S = [f(x1) + f(x2) + f(x3) + f(x4) + f(x5)]Δx
S = [f(1.1) + f(1.2) + f(1.3) + f(1.4) + f(1.5)](0.1)
= [(1.1)2 + (1.2)2 + (1.3)2 + (1.4)2 + (1.5)2](0.1)
= [1.21 + 1.44 + 1.69 + 1.96 + 2.25](0.1)
= 8.55(0.1)
= 0.855
Problem 3 :
Find an approximate value of integral 1 to 1.5 (2-x) dx by applying the mid point rule with the partition
{1.1, 1.2, 1.3, 1.4, 1.5}
Solution :
Here a = 1, b = 1.5, number of sub interval (n) = 5
f(x) = (2-x)
Width of interval (h) = Δx = 0.1
x0 = 1, x1 = 1.1, x2 = 1.2, x3 = 1.3, x4 = 1.4, x5 = 1.5
S = [f(x0 + x1)/2 + f(x1 + x2)/2 + f(x2 + x3)/2 + f(x3 + x4)/2 + f(x4 + x5)/2]Δx
S = [f(1+1.1)/2 + f(1.1+1.2)/2 + f(1.2+1.3)/2 + f(1.3+1.4)/2 + f(1.4+1.5)/2]Δx
S = [f(1.05) + f(1.15) + f(1.25) + f(1.35) + f(1.45)](0.1)
= [(2-1.05) + (2-1.15) + (2-1.25) + (2-1.35) + (2-1.45)](0.1)
= (0.95+0.85+0.75+0.65+0.55)(0.1)
= 3.75(0.1)
= 0.375

Apart from the stuff given above, if you need any other stuff in math, please use our google custom search here.
Subscribe to our ▶️ YouTube channel 🔴 for the latest videos, updates, and tips.
Kindly mail your feedback to v4formath@gmail.com
We always appreciate your feedback.
About Us | Contact Us | Privacy Policy
©All rights reserved. onlinemath4all.com

Mar 14, 26 12:02 PM
Mar 14, 26 07:33 AM
Mar 13, 26 08:41 PM