Subscribe to our ▶️ YouTube channel 🔴 for the latest videos, updates, and tips.
Property 1 :
Scalar product of two vectors is commutative.
With usual definition,
a vector ⋅ b vector = |a||b|cos θ = |b||a|cos θ = b ⋅ a
That is, for any two vectors a and b, a ⋅ b = b ⋅ a
Property 2 :
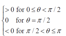
Nature of scalar product.
We know that 0 ≤ θ ≤ π
If θ = 0 then a ⋅ b = ab
[Two vectors are parallel in the same direction then θ = 0]
If θ = π then a ⋅ b = −ab
[Two vectors are parallel in the opposite direction θ = π/2
That is a vector ⋅ b vector is

Property 3 :
When is a scalar/dot product of two vectors equal to zero ?
a vector ⋅ b vector = 0
when |a vector| = 0 |(or) |b vector| = 0 or θ = π/2
Property 4 :
If the dot product of two nonzero vectors is zero, then the vectors are perpendicular.
For any two non-zero vectors a vector and b vector, a ⋅ b = 0 a vector is perpendicular to b vector.
Property 5 :
Different ways of representations of a vector ⋅ b vector
a vector ⋅ a vector =|a vector|2 = (a vector)2 = (a vector)2 = a2
These representations are essential while solving problems
Property 6 :

For any two scalars λ and μ
λa vector ⋅ μb vector = λμ (a vector ⋅ b vector) = (λμa vector) ⋅ b vector = a vector ⋅ (λμb vector)
Property 7 :
Scalar product is distributive over vector addition.
That is, for any three vectors a, b, c.
a vector (b vector + c vector) = a ⋅ b + a ⋅ c (Left distributivity)
(a vector + b vector) ⋅ c vector = a ⋅ c + b ⋅ c (Right distributivity)
Subsequently,
a vector ⋅ (b vector − c vector) = a vector ⋅ b vector - a vector ⋅ c vector
and (a vector − b vector) ⋅ c vector = a vector ⋅ c vector − b vector ⋅ c vector
These can be extended to any number of vectors
Property 8 :
Vector identities :

Property 9 :
Working rule to find scalar product of two vectors.
Let

Hence, the scalar product of two vectors is equal to the sum of the products of their corresponding rectangular components.
Property 10 :
Angle between two vectors

Property 11 :
For any two vectors and a vector b vector
|a vector + b vector| ≤ |a vector| + |b vector|
We know that if a vector and b vector are the two sides of a triangle then the sum a vector + b vector represents the third side of the triangle. Therefore, by triangular property, |a vector + b vector| ≤ |a vector| + |b vector|
Property 12 :
For any two vectors and, |a vector ⋅ b vector| ≤ |a vector| |b vector|.
If one of them is zero vector then the equality holds. So, let us assume that both are non-zero vectors.
Problem 1 :
If a vector = (2, 3, 1) and b vector = (5, −2, 2) find the angle θ, between a vector and b vector.
Solution :
θ = cos-1 [(a • b) / |a vector | |b vector| ]
a • b = 2(5) + 3(-2) + 1(2)
= 10 - 6 + 2
= 12 - 6
a • b = 6
|a vector| = √22 + 32 + 12
= √4 + 9 + 1
= √14
|b vector| = √52 + (-2)2 + 22
= √25+4+4
= √33
θ = cos-1 [6 / 2√14√33]
θ = cos-1 (6/21.49)
θ = cos-1 (0.279)
θ = 73.8°
Problem 2 :
Calculate the dot product of:
(a) (2, 5, −1) and (4, 1, 1)
(b) 3⃗i and 5⃗j
(c) 5⃗k and ⃗j+2⃗k
Solution :
Given vectors are (2, 5, −1) and (4, 1, 1)
a • b = 2(4) + 5(1) + (-1)(1)
= 8 + 5 - 1
= 13 - 1
= 12
a • b = 3(0) + 0(5) + 0(0)
a • b = 0
Problem 3 :
Which of the following vectors are perpendicular?
(a) (5, 2, 3)
(b) (0, 1, −1)
(c) (−2, 2, 2)
Solution :
a • b = 5(0) + 2(1) + 3(-1)
= 0 + 2 - 3
= -1
b • c = 0(-2) + 1(2) + (-1)(2)
= 0 + 2 - 2
= 0
c • a = -2(5) + 2(2) + 2(3)
= -10 + 4 + 6
= 0
b vector is perpendicular to c vector and c vector is perpendicular to a vector.
Problem 4 :
If a vector = (2, 2, 2), b vector = (3, 2, −1), and c vector = (−1, 4, 1)
(a) Show a vector • b vector = a vector • c vector
(b) Rearranging a • b = a • c gives a vector (b vector - c vector) = 0. As b ≠ c, what is the relationship between a vector • (b vector - c vector)
Solution :
a)
a vector • b vector = 2(3) + 2(2) + 2(-1)
= 6 + 4 - 2
= 10 - 2
= 8
a vector • c vector = 2(-1) + 2(4) + 2(1)
= -2 + 8 + 2
= 8
a vector •(b vector - c vector) =
= 2(4) + 2(-2) + 2(-2)
= 8 - 4 - 4
= 0
So, a vector • (b vector - c vector) is perpendicular.
Subscribe to our ▶️ YouTube channel 🔴 for the latest videos, updates, and tips.
Kindly mail your feedback to v4formath@gmail.com
We always appreciate your feedback.
About Us | Contact Us | Privacy Policy
©All rights reserved. onlinemath4all.com
Dec 20, 25 10:51 AM
Dec 20, 25 10:49 AM
Dec 20, 25 10:49 AM