Subscribe to our ▶️ YouTube channel 🔴 for the latest videos, updates, and tips.
Problem 1 :
Evaluate the following integrals using properties of integration :

Solution :
Since the limit is 0 to 2π, we may use one of the properties.
|
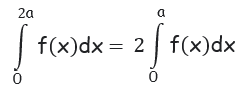
If f(2a-x) = f(x) |
![]() |
|
If f(2a-x) = -f(x) |
![]() |

[sin(π-x)]4 [cos(π-x)]3 dx
= -sin4x cos3x dx
f(π-x) = -f(x)
So, the answer is 0.
Problem 2 :

Solution :
Let f(x) = log (1+x)/(1+x2)
Applying x = tan θ then θ = tan-1x
dx = sec2θ dθ
1+x2 = 1+tan2 θ
If x = 0, θ = tan-1(0) ==> 0
If x = 1, θ = tan-1(1) ==> π/4


Problem 3 :

Solution :

Multiplying by its conjugate, we get

= π[sec x - tan x + x]
By applying the limits, we get
= π[sec(π//2)-tan(π/2)+(π/2) - (sec0-tan0+0)]
= π[(π/2) - 1]
= (π2/2)-π
Problem 4 :

Solution :


By applying limit, we get
2I = 3π/8 - π/8
2I = 2π/8
I = π/8
Problem 5 :

Solution :


Dividing by 2 and integrating it, we get
= π[x] 0 to π/2
= π(π/2)
= π2/2
Subscribe to our ▶️ YouTube channel 🔴 for the latest videos, updates, and tips.
Kindly mail your feedback to v4formath@gmail.com
We always appreciate your feedback.
About Us | Contact Us | Privacy Policy
©All rights reserved. onlinemath4all.com

Dec 27, 25 09:33 PM
Dec 25, 25 08:30 AM
Dec 24, 25 07:58 PM